Новости науки
Половина таблицы Менделеева в форме простых веществ проявляет сверхпроводимость. Хотя жидкий гелий – основная криогенная жидкость, используемая человечеством, всего на 4.2 градуса теплее абсолютного нуля, для большинства элементов нужны еще более низкие температуры.
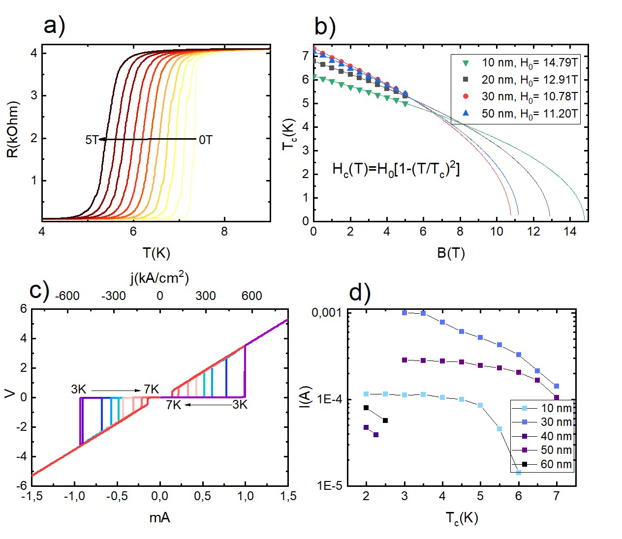
Известно 5 простых металлов-сверхпроводников с температурой сверхпроводимости выше 4.2 К: технеций (радиоактивен Tc=8.2К), ниобий (9.2 К), свинец (7.2 К), ванадий (4.5 К) и тантал (4.3 К). Группа ученых из ЦВСиКМ ФИАН научилась создавать технологичные пленки аморфного рения с Tc>7К с уникальными свойствами: стабильностью к окислению, высокими критическими токами и полями. Данный материал имеет много возможных применений в сверхпроводящей электронике для детекторов, а также как сверхпроводящий контакт к другим материалам. Работа выполнена в рамках гранта РНФ 23-12-00340.


