Когда искра дробится на нити
Ученые в деталях изучили, как меняется структура плазмы в наносекундном искровом разряде в воздухе при снижении давления от атмосферного до единиц Торр (миллиметров ртутного столба). Авторы обнаружили пороговый характер формирования микроскопических плазменных каналов и выявили условия, при которых возникает высокоионизованная плазма вблизи катода.

Экспериментальная установка и коллектив молодых ученых
Фото: Егор Паркевич
Эти результаты важны для понимания фундаментальных механизмов формирования плазмы в газовых разрядах и могут быть применены в задачах моделирования длинных искровых разрядов, включая лабораторное изучение молниевых процессов. Результаты исследования, поддержанного грантом Российского научного фонда (РНФ), опубликованы в журнале Physical Review E.
Искровые разряды в воздухе, возникающие при высоких напряжениях, обладают сложной внутренней структурой. При атмосферном давлении они часто распадаются на тонкие высокоионизованные плазменные нити — микроскопические каналы диаметром около 20 микрометров, в которых степень ионизации может достигать десятков процентов. Однако до сих пор оставалось неясно, как меняется процесс такой микроструктуризации при снижении давления воздуха и при каких условиях он полностью прекращается. Понимание этих механизмов необходимо для создания точных физических моделей плазмообразования, которые используются в том числе при лабораторном моделировании молниевых разрядов.

Схема экспериментальной установки для пикосекундного лазерного зондирования плазмы в разрядном промежутке
Диаграмма: Егор Паркевич
Исследователи из Физического института имени П. Н. Лебедева РАН (Москва) провели серию экспериментов с наносекундным искровым разрядом в воздухе в широком диапазоне давлений — от 100 до 760 Торр (атмосферное давление). Для изучения быстропротекающих процессов с высоким пространственным и временным разрешением использовалась уникальная установка с пикосекундным лазерным зондированием плазмы. Шесть синхронизированных лазерных пучков с длиной волны 532 нм с интервалом в несколько наносекунд регистрировали состояние разряда за один и тот же выстрел, произведенный на установке, что позволило детально отследить динамику формирования плазменных структур. Одновременно записывались интерферограммы, теневые и шлирен-изображения, на основе которых восстанавливались распределения концентрации электронов плазмы с точностью до 2–3 микрометров.
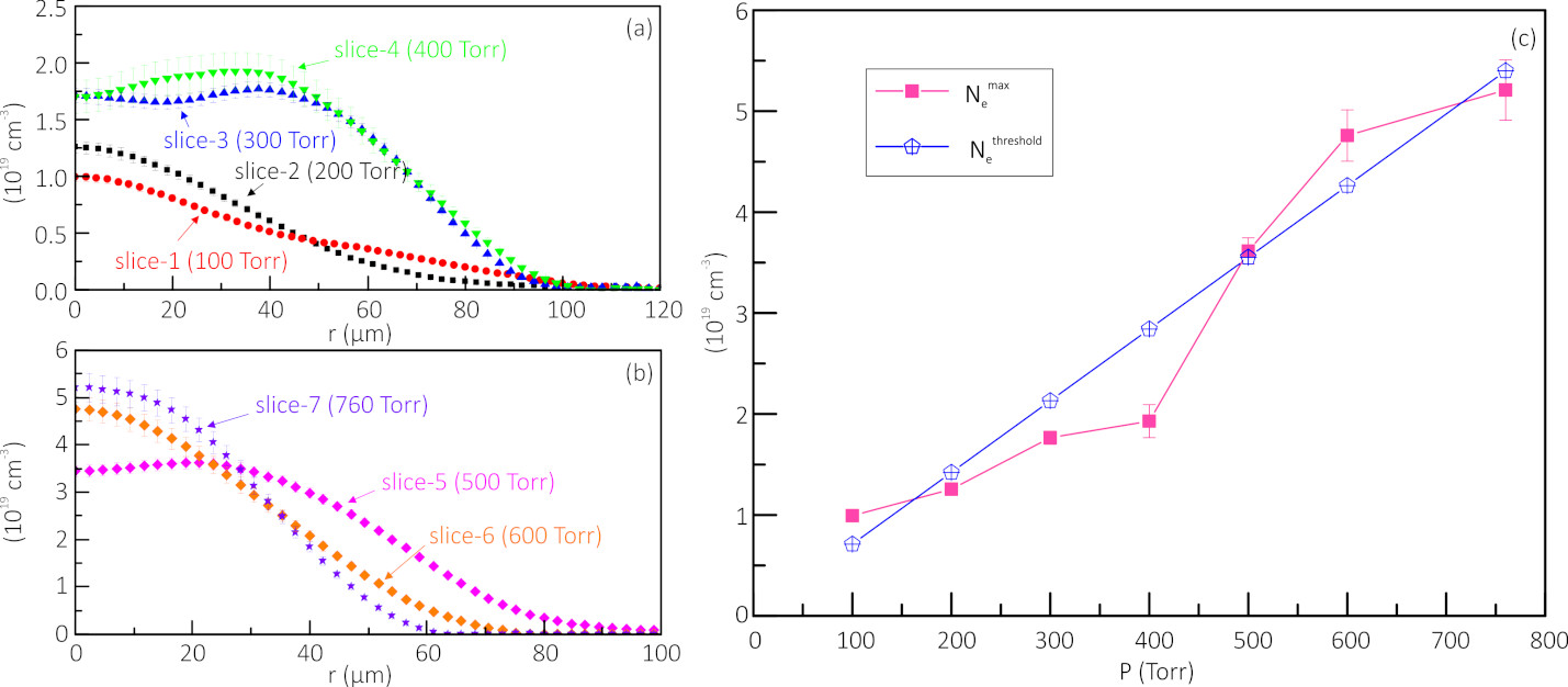
Эксперименты показали, что процесс микроструктуризации — распада фронта ионизационной волны на отдельные микроскопические каналы — имеет пороговый характер по давлению. При атмосферном давлении (760 Торр) и вплоть до 400 Торр наблюдалось образование множества микроскопических каналов диаметром около 20 мкм с концентрацией электронов, близкой к состоянию полной ионизации воздуха. Однако при снижении давления до 300 Торр микроструктура перестала наблюдаться: разряд развивался в виде относительно однородного плазменного канала без мелкомасштабных нитей.

Лазерные интерферограммы, демонстрирующие структурные изменения в канале искры при снижении давления воздуха
Диаграмма: Егор Паркевич
Интересные изменения происходят также вблизи катода. При давлениях около 100–200 Торр высокоионизованная плазма возникает не на вершине острийного катода, а на его боковой поверхности, образуя сферическую плазменную область. Анализ показал, что эта плазма состоит преимущественно из ионизованных паров материала катода (меди), что указывает на доминирующую роль взрывной электронной эмиссии. При дальнейшем снижении давления ниже 100 Торр генерация такой плазмы становится спорадической и полностью исчезает, что также свидетельствует о пороговом характере явления.
Важным результатом работы стало обнаружение того, что скорость ионизационной волны (примерно 10 см/с), берущей свое начало от взрывной прикатодной плазмы и создающей каналы высокоионизованной плазмы, слабо зависит от давления, тогда как время, необходимое для их развития (так называемое время филаментации), возрастает при его снижении. Это позволяет объяснить структурные переходы, наблюдаемые в результирующем канале разряда.

Распределения концентрации электронов в сечениях искрового канала (a,b) и зависимость максимальной концентрации Nemax от давления воздуха (c). Кривая Nethreshold показывает теоретический предел при полной диссоциации и однократной ионизации воздуха
Диаграмма: Егор Паркевич
«Наша работа впервые систематически показывает, как давление воздуха управляет переходом от мелкомасштабной филаментации к образованию однородного плазменного канала. Обнаруженные пороговые эффекты — ключ к пониманию того, при каких условиях в разряде возникает сложная микроструктура, а при каких — нет. Это важно как для фундаментальной физики газового разряда, так и для прикладных задач — например, управления генерацией металлических наночастиц в низкотемпературной плазме»,— комментирует руководитель проекта, поддержанного грантом РНФ, кандидат физико-математических наук, старший научный сотрудник ФИАН Егор Паркевич.
«Полученные данные предоставляют новые строгие экспериментальные ограничения для теоретических моделей, описывающих быстрое плазмообразование и развитие неустойчивостей в искровых каналах. В дальнейшем мы планируем изучить влияние других параметров, таких как состав газа, форма электродов и предыонизация, на пороги микроструктуризации, чтобы создать более полную картину механизма филаментации»,— добавляет ученый.
Подготовлено при поддержке Российского научного фонда
